**El código es el siguiente: **









Resultado obtenido con la ejecución del código:


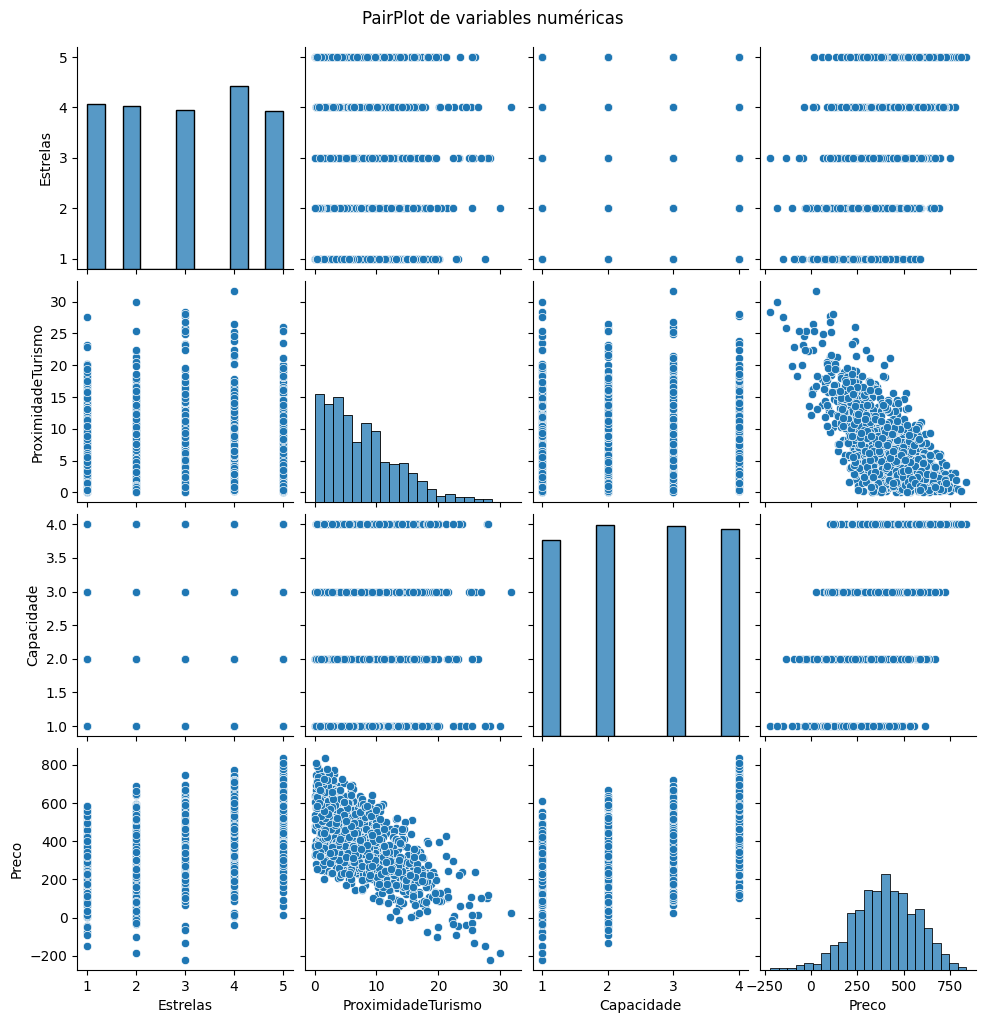
Conclusión de lo anterior:
Con la información obtenida en el grafico de "pairplot", se evidencia que la relación más clara y negativa es la de "preco" y la "ProximidadeTurismo", pero por otro lado se evidencia que existe una relación de "Estrelas" y "Capacidade" se muestran que se establecen una asociación positiva con el precio. Esto permite confirmar el modelo, por medio de la regresión lineal múltiple, que va a realizarse de forma drásticamente el desempeño frente a la simple (R² = 0.92 vs 0.46 y menor RMSE), lo que indicara que el precio se explica de forma conjunta con las otras tres variables.