Ya estoy inscrito ¿Todavía no tienes acceso? Nuestros Planes
Ya estoy inscrito ¿Todavía no tienes acceso? Nuestros Planes
1
respuesta

Desafío: hora de la práctica

Los desafíos siguen una secuencia de tareas, sirviendo como un proyecto secundario, que se realizará a lo largo de las clases del curso. Para realizar los desafíos, descarga la Base de datos - Desafío.

1 - La primera etapa en un proyecto de Machine Learning es la obtención de datos. A partir de esta obtención, podemos leer los datos para construir un modelo. Como tarea inicial, realiza la lectura de la base de datos y verifica la presencia de datos nulos. Además, elimina la columna 'id_cliente', ya que este tipo de información única para cada fila no es útil para su uso en modelos de machine learning.


import pandas as pd
import seaborn as sns
import matplotlib.pyplot as plt

# estilo para los gráficos
sns.set_theme(style="whitegrid")

df = pd.read_csv('/content/churn.csv')

print("Resumen de Datos Nulos")
print(df.isnull().sum())

# Eliminación de id_cliente
if 'id_cliente' in df.columns:
    df.drop('id_cliente', axis=1, inplace=True)
    print("\nColumna 'id_cliente' eliminada correctamente.")

2 - Después de leer los datos, es importante conocer los datos, revisando inconsistencias y entendiendo el comportamiento de cada una de las columnas. En esta tarea, realiza un análisis exploratorio utilizando gráficos para las variables categóricas de la base de datos, incluyendo la variable objetivo churn. Para estas variables, se pueden utilizar gráficos de barras para contar las categorías y hacer un agrupamiento por colores de acuerdo con las categorías de la variable objetivo.

# Identificamos las variables categóricas
cat_cols = ['pais', 'sexo_biologico', 'tiene_tarjeta_credito', 'miembro_activo', 'churn']

plt.figure(figsize=(18, 12))
for i, col in enumerate(cat_cols):
    plt.subplot(2, 3, i+1)
    if col != 'churn':
        # Agrupamos por la variable objetivo
        sns.countplot(data=df, x=col, hue='churn', palette='viridis')
        plt.title(f'Distribución de {col} por Churn')
    else:
        sns.countplot(data=df, x=col, palette='magma')
        plt.title('Distribución Global de Churn (Target)')
    
    plt.xlabel(col)
    plt.ylabel('Cantidad de Clientes')

plt.tight_layout()
plt.show()

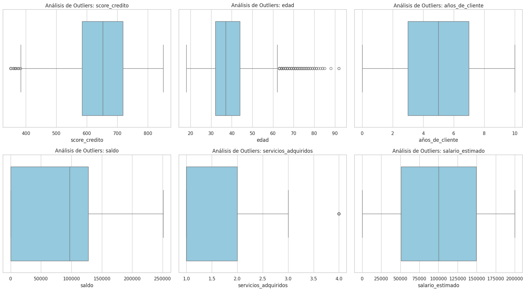
3 - Después de explorar las variables categóricas, es el turno de las variables numéricas. Construye gráficos de distribución como boxplots o histogramas para analizar el comportamiento de los valores numéricos y verificar si hay valores inconsistentes.

num_cols = ['score_credito', 'edad', 'años_de_cliente', 'saldo', 'servicios_adquiridos', 'salario_estimado']

# Visualización con Boxplots
plt.figure(figsize=(18, 10))
for i, col in enumerate(num_cols):
    plt.subplot(2, 3, i+1)
    sns.boxplot(x=df[col], color='skyblue')
    plt.title(f'Análisis de Outliers: {col}')

plt.tight_layout()
plt.show()

# Visualización con Histogramas
plt.figure(figsize=(18, 10))
for i, col in enumerate(num_cols):
    plt.subplot(2, 3, i+1)
    sns.histplot(df[col], kde=True, color='teal')
    plt.title(f'Distribución de {col}')

plt.tight_layout()
plt.show()

Ingrese aquí la descripción de esta imagen para ayudar con la accesibilidad

Ingrese aquí la descripción de esta imagen para ayudar con la accesibilidad

Ingrese aquí la descripción de esta imagen para ayudar con la accesibilidad

Ingrese aquí la descripción de esta imagen para ayudar con la accesibilidad

1 respuesta

Hola César, espero que estés bien

Parece que ya has avanzado bastante en el desafío. Veamos algunos puntos clave de lo que has hecho:

  1. Lectura de datos y eliminación de la columna 'id_cliente': Has leído correctamente los datos y eliminado la columna 'id_cliente', lo cual es un buen primer paso para preparar los datos para el modelado.

  2. Análisis de variables categóricas: Has utilizado gráficos de barras para visualizar la distribución de las variables categóricas en relación con la variable objetivo 'churn'. Esto te ayuda a entender cómo se distribuyen las categorías y su relación con el churn.

  3. Análisis de variables numéricas: Has empleado boxplots e histogramas para analizar las variables numéricas. Los boxplots son útiles para identificar outliers, mientras que los histogramas te muestran la distribución general de los datos.

Si tienes alguna duda específica sobre los gráficos o los resultados, te recomiendo:

  • Revisar los outliers: Observa si los outliers identificados son errores de datos o si son valores válidos que podrían influir en tu modelo.
  • Explorar correlaciones: Considera calcular la correlación entre las variables numéricas y la variable objetivo para identificar cuáles podrían ser más relevantes para el modelo.

Espero que esta orientación te sea útil. ¡Bons estudios!